Uma introdução à árvore binária


Árvores binárias são estruturas de dados hierárquicas compostas por nós, onde cada nó tem no máximo dois filhos: um à esquerda e outro à direita. Devido à sua eficiência em operações, essa estrutura é amplamente usada em algoritmos como busca, inserção e exclusão de dados. Por ser uma estrutura hierárquica, ela organiza e facilita o acesso e a manipulação dos dados.

Diferente de outras estruturas de dados, a árvore binária tem algumas características peculiares. Cada nó contém um valor e dois ponteiros referências para seus filhos, permitindo a navegação pela estrutura. Além disso, cada árvore contém um nó raiz (nó pai) em seu ponto superior e cada nó pode ter zero ou mais "filhos", isso significa que cada nó na árvore binária pode ter subárvores.

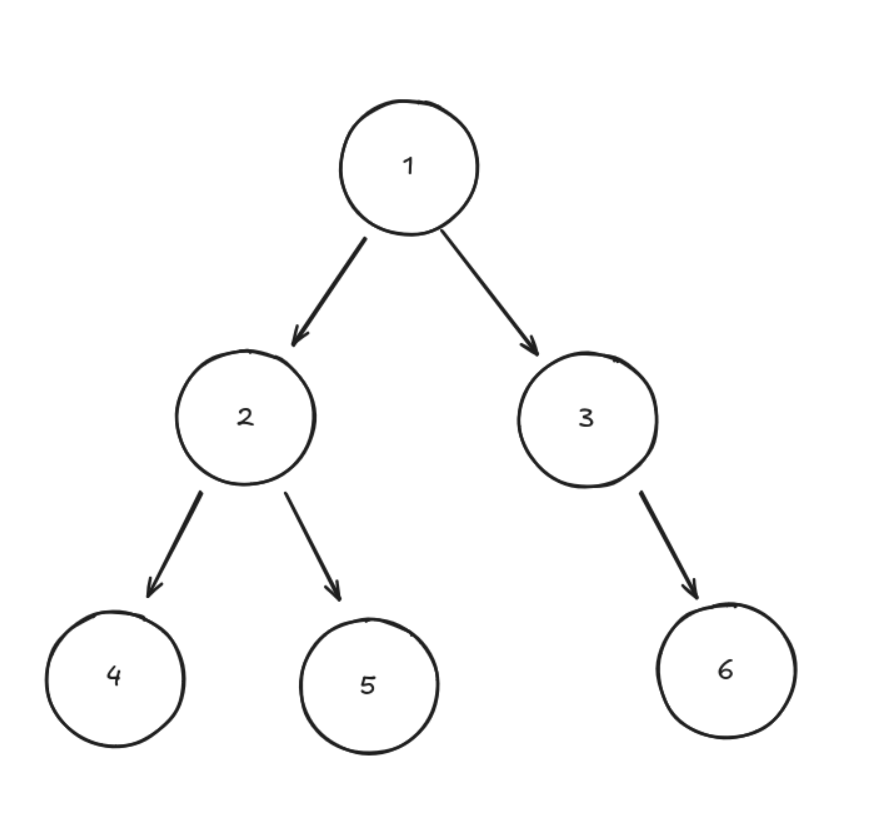
imagem da árvore binária

Estrutura da árvore binária

Uma árvore binária pode ser representada por 3 partes:

  • Valor.
  • Ponteiro para o filho da esquerda.
  • Ponteiro para o filho da direita.

diagrama de representação da árvore binária

Podemos construir essa representação do nó utilizando uma class, contendo essas 3 características citadas à cima. Em Python, isso fica da seguinte forma:

class No:
    def __init__(self, valor):
        self.valor = valor
        self.esquerda = None
        self.direita = None

Exemplo de uso:

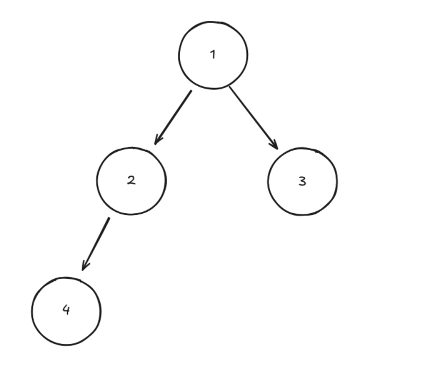
Vejamos um exemplo de uma árvore binária com 4 nós contendo os seguintes valores (1,2,3 e 4).

class No:
    def __init__(self, valor):
        self.valor = valor
        self.esquerda = None
        self.direita = None

# criando os nós da árvore binária
primeiro_no = No(1)
segundo_no = No(2)
terceiro_no = No(3)
quarto_no = No(4)

#conectando os nós da árvore binária
primeiro_no.esquerda = segundo_no
primeiro_no.direita = tercceiro_no
segundo_no.esquerda = quarto_no

No código a cima, criamos 4 nós, primeiro_no, segundo_no, terceiro_no e querto_no com valores de 1 a 4. Logo após, conectamos esses nós utilizando os ponteiros 'esquerda' e 'direita'. Essa árvore terá a seguinte representação:

dasda

Inserindo um novo elemento na árvore binária.

Inserir um novo elemento na árvore binária significa procurar por um lugar vazio. E para fazer isso, primeiro devemos adicionar um nó raiz (nó principal) na estrutura da árvore. Em seguida, as inserções subsequentes envolvem a busca de um lugar vazio em cada nível da árvore. Quando esse lugar vazio (ponteiro) é encontrado, um novo nó é inserido.

from collections import deque

def inserir(arvore, valor):
    if arvore is None:
        return No(valor)

    fila = deque([arvore])

    while fila:

        no = fila.popleft()

        if no.esquerda is None:
            no.esquerda = No(valor)
        else:
            fila.append(no.esquerda)

        if no.direita is None:
            no.direita = No(valor)
        else:
            fila.append(no.direita)

    return arvore

Exemplo inserindo alguns elemento:

arvore = None # A árvore não tem nenhum elemento.

elementos = [1,2,3,4,5,6,7]
for elemento in elementos:
    arvore = inserir(arvore, elemento)

Para poder inserir um novo elemento, precisamos procurar por espaços vazios. O algoritmo usa a estrutura de filas para poder fazer pesquisa de nós que não estejam apontando para nenhum nó existente.

# adicionando todos os nós existente da árvore binária na fila. 
fila = deque([arvore])

while fila:
    # retirar o primeiro nó que está a frente da fila.
    no = fila.popleft()

Logo após retirarmos o nó que está na frente da fila, verificamos se os ponteiros da esquerda e direita estão apontando para algum nó existente na estrutura. Caso não esteja, o algoritmo adiciona o novo elemento no local vazio. Se ambos os ponteiros estiverem apontando para um nó existente, esses nós serão adicionados ao final da fila. Isso será importante, pois, caso não exista espaço vazio no nó que está sendo analisado, será necessário procurar nos filhos desse nó.

if no.esquerda is None:
    no.esquerda = No(valor)
else:
    fila.append(no.esquerda)

if no.direita is None:
    no.direita = No(valor)
else:
    fila.append(no.direita)

Assim que finalizar a procura por um espaço vazio e adicionar o novo elemento, o algoritmo retorna à árvore com os valores atualizados.